Subsections

4 ツリー構造

4.1 ツリー構造とは

同じような複数のデータを表す場合,配列やリスト,スタック,キューのようなデータ構 造を使うことを学習してきた.これらのデータ構造では,階層をもつデータの集まりを表 すことは,困難である.このように階層構造をもつデータを処理するときに威力を発揮す るのがツリー構造である.ツリーとは,tree(木)のことである.

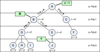
ツリー構造にはいろいろ名称があり,それを表1と図 4に示す.なぜ,図6のようなデータ構造をツリー 構造と呼ぶか?.それは,この図を反対にしてみるのである.すると,根が一番下にきて, 枝や葉が上にあることが分かるであろう.まさに,木である.


表 1: ツリー構造の名称
構成要素 内容
ルート(root:根) 最上位のノード
ノード(node:節) 枝が分かれるところ
リーフ(leaf:葉) 子がないノード
ブランチ(branch:枝) 親と子を結ぶ線
親(parent) 上のノード
子(child) 下のノード
兄弟(brother) 同じ親を持つノード

図 4: ツリー構造.図中の親子関係はノードEを基準にしている.
\includegraphics[keepaspectratio,scale=0.8]{figure/tree_structure.eps}

4.2 2分木

木構造のうち,各ノードの子どものノードが最大2つのようなものを2分木 と言う.そして,ある規準に従ってその2分木が作られている場合,2分探索木(binary search tree)と呼ばれる.この構造のあるノードの左側と右側はそれぞれの子を頂点とす る木構造になる.この子孫に対しても,同じ規準が適用されれるので,再帰による処理が 可能となる.

特に有用な2分探索木は,大小関係を表すもので,

である.図は,2分探索木になっている.
図 5: ツリー構造(2分探索木)
\includegraphics[keepaspectratio,scale=1.0]{figure/B_tree.eps}

4.3 ノードを表す構造体

6が2分木のツリー構造である.一つのノードは,データとその2つの子 を表すポインターからなる.このように複数の異なる型のデータから成る情報を表すため には,構造体を用いる.その構造体をリスト5に示す.

このツリー構造を使うためには,型宣言として以下のものが必ず必要である.

ノードを表す構造体
データと子を示すポインターから構成され,ノードを表す.
ルートを表すポインター
ツリー構造のデータをたどるために,ルートを示すポインターが必ず必要である.

リスト5 2分木の ノードを表す構造体.教科書のList 6-1(転載について)

   1 typedef struct _tag_tree_node
   2 {
   3     /* このノードが保持する値 */
   4     int value;
   5     /* 自分より小さい値のnode:図では左側のノード */
   6     struct _tag_tree_node *left;
   7     /* 自分より大きい値のnode:図では右側のノード */
   8     struct _tag_tree_node *right;
   9 } tree_node;
ツリーはノードのみならず,ルートを表すポインターが必要である.教科書のList 6-4(p.176)のように,
	tree_node *tree_root=NULL;

とそのポインターを宣言しておく.もちろん,これはノードを表す構造体のよりも後で宣 言する必要がある.先に宣言すると,tree_nodeという型がコンパイラーが分からない からである.また,初期値は意味のないポインター(NULL)を入れておく.最初はルー トがないため,それを表すポインターは意味が無いためである.
図 6: 教科書 List6-1〜List 6-4のツリー構造
\includegraphics[keepaspectratio,scale=0.9]{figure/tree.eps}

4.4 練習問題

[1]
図の中で2分探索木になっているものはどれか?
\includegraphics[keepaspectratio, scale=0.8]{figure/B_Q1.eps}
(ア)
\includegraphics[keepaspectratio, scale=0.8]{figure/B_Q2.eps}
(イ)
\includegraphics[keepaspectratio, scale=0.8]{figure/B_Q3.eps}
(ウ)
\includegraphics[keepaspectratio, scale=0.8]{figure/B_Q4.eps}
(エ)
[2]
最初はデータが無く,以下の並びでデータが追加される.2分探索木を作成せよ.
69,26,36,45,89,65,11,12,14,23,44
[3]
図の2分探索木にデータを追加する.以下の問いに答えよ.
70,73,67,75,77,66と順に追加する.
\includegraphics[keepaspectratio, scale=0.8]{figure/Q_add_data.eps}
データを追加する2分木
[4]
図の2分探索木にデータを削除する.以下の問いに答えよ.
52,46,54と順に削除する.
\includegraphics[keepaspectratio, scale=0.8]{figure/Q_del_data.eps}
データを削除する2分木
[5]
2分木のノードを示す構造体を書け.

[転載について]
このペー ジ中のリスト5のプログラムは,教科書として使用している以下の書籍
書名プログラミングの宝箱 アルゴリズムとデータ構造 ISBN4-7973-2419-8
著作者紀平拓男・春日伸弥
出版社ソフトバンク パブリッシング株式会社
から転載しました.この転載に関しては,著者と版元に許諾を得ています.



ホームページ: Yamamoto's laboratory
著者: 山本昌志
Yamamoto Masashi
2006-02-27


no counter