ここは教科書を使って説明する.
このアルゴリズムの特徴は,
- もっとも値の大きいデータは,外側の1回のループで右端に移動する.
- 小さい値で,左に移動すべきデータは,一つずつしか移動できない.この一つず
つしか移動できないので,整列に多くの計算回数が必要となる.
- 左に移動するデータのうち,初期位置と整列終了位置との差の最大なものにより,
計算回数は決まる.
教科書のアルゴリズム(プログラム)の計算量を計算する.このプログラムの計算量は,内
側のループの回数,すなわち,大小の比較回数
| if(sort[i]>sort[i+1]) |
(1) |
の実行回数で評価できるであろう.なにしろ,プログラム中もっとも実行回数の多い命令
は,この文であるからである.
この文の最小実行回数は,最初から整列できている場合である.このときの,実行回数は,
回であるのは明らかである.最悪の場合は,最小の値が右端にある場合である.こ
の場合の実行回数は,
となる.なぜならば,
- この最小の値は,1回外側のループ(do文のところ)を実行する毎に,一つ左に移動する.
- 所定の位置に移動するために,
回,外側のループを実行する必要がある.
- 外側のループを1回実行する毎に,内側のループは
回,実行される.
となるからである.
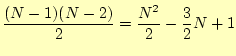
最初のデータの並び方により,
回から
まで開きがある.初期位置と整列終
了位置との差の最大の期待値を計算することになるが,これが難しい.まだ,ちゃんとし
た計算が出来ていないので,正確なことは言えないが,大体,それは
程度であ
ることは分かるだろう.最小な値の初期位置と整列終了位置との差の期待値である.この
程度とすると,先の比較の実行回数は,
 |
(2) |
となる.データ数

が大きい場合,

に比例して計算量が増加する.
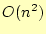
この
に比例して計算量が必要なばあい,
と書く.この表記法を
記法(
-notation)といい,計算オーダーを示す.数学で使うランダウの記
号に似ている.
かなりいい加減な説明で,バブルソートの計算回数が
と示した.もっと正確に,
説明したかったが,計算方法を思いつかなかった.ネットでも正確な記述を見つけること
が出来なかった.正確な計算方法が分かれば,もう一度,説明する.
ここで示したように,バブルソートは

の計算オーダーなので,次週で述べるクイッ
クソートに比べて,効率の悪いアルゴリズムである.したがって,実際問題で,このソー
トは使ってはならないとされている.ただ,アルゴリズムが単純なので,最初の学習に
はちょうど良いので取り上げられるが,ただ,使い道はそれだけである.
ホームページ:
Yamamoto's laboratory著者:
山本昌志
Yamamoto Masashi
平成17年10月27日