| [問] |
1本の直線電流のまわりの磁場を、例題ではベクトルポテン
シャルを直接計算することによって求めた。別解として、一本の直線上に一
様な線密度で電荷が分布しているときの、電位の計算と対比させることによっ
ても、いまの磁場が求められることをしめせ。 |
電場のスカラーポテンシャルが満たす微分方程式は、
 |
(1) |
である。一方、磁場のベクトルポテンシャルの場合は
である。スカラーポテンシャルもベクトルポテンシャルも同じ微分方程式であ
る。微分方程式が同じならば、その解も同じ形である。
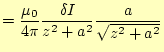
まずは、単純なスカラーポテンシャルを計算する。線密度
で電荷が一
様に分布している無限に長い線を考える。ガウスの法則を使うと、電場は
 |
(3) |
となる。次にポテンシャルを計算する。この場合、無限の電荷があるので、無
限遠点を基準電位にできない。

の位置を基準電位とする。すると、ポテンシャルは
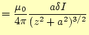
である。微分方程式が同じなので、この結果は直ちにベクトルポテンシャルに
応用できる。その結果、
 |
(5) |
となる。これが、無限に長い直線電流の磁場を表すことは、各自確かめよ。
| [問] |
次のベクトルポテンシャルは、同一の磁場を表している。そ
の磁場の磁束密度を求めよ。次に、一つの磁場を表すのに、このような複数
のベクトルポテンシャルがあってもよい理由を述べよ。 |
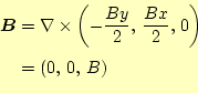
まず、それぞれのベクトルポテンシャルが表す磁場を考えてみる。ベクトルポ
テンシャルと磁場の関係は、

なので、式
(
6)の表す磁場は、
となる。同様に、式(
7)の表す磁場は、
となる。これら2つのベクトルポテンシャルは、同じ磁場

を表し
ている。
なぜ、ベクトルポテンシャルは異なっているのに、同じ磁場となるのか?。こ
れは、ベクトル恒等式
 |
(10) |
から説明できる。即ち、異なるベクトルポテンシャル、

と

、であっても、同じ磁場を表すことがで
きるのである。これは、ちょうど、通常の関数に定数項を加えても、その微分
は同じであることに対応する。
それでは、
、
として、そ
の関係を調べてみる。それぞれの差は、
である。したがって、

と
なっており、ベクトル恒等式より同じ磁場を表すことになる。
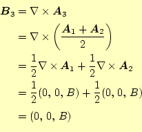
問題に対する解答は、これで終わりであるが、もう少し違った見方で、この問
題を見てみる。式(6)のベクトルポテンシャルと磁場の
様子を図1に示す。この図の矢印がベクトルポテンシャ
ルで、磁場は紙面に垂直にある。式(7)の図
3のようになる。これは、式
(8)や(8)の通りである。図を
見れば、矢印が川の流れを表すとすると、紙面に垂直な軸をもつ水車を入れる
とそれが回ることが分かるであろう。その回転速度もどこでも同じであること
が直感で理解できると思う。
次に、図1を90度回転させてみよう。すると、図
2のようになるであろう。90度回転させても磁場はまっ
たく変化しないが、ベクトルポテンシャルの方向は変化する。この90度回転し
たベクトルポテンシャル
もまた、同じ磁場を表すことが予想できる。実際、これが現す磁場を回転を取
ると、

となる。
図3のベクトルポテンシャルは、図
1と2を加算して、2で割っ
た形になっている。それぞれのベクトルポテンシャルを、
とすると、
 |
(13) |
である。これから、図
3の磁場

は
となることが理解できるであろう。問題で与えられたベクトルポテンシャル図
3は、図
1と90度回転した図
2を足して2で割っただけである。図
1と
2が0.5ずつ寄与しているのである。
このことから、図1の寄与が
で図
2が
のような、図の場合でも同じ磁場を表す。ま
た、それを45度回転させても同じ磁場を表す。
| [問] |
半径 の二つの円形コイルを中心軸を共通にして、 だけ
の間隔を隔てて置き、両者に同じ向きに同じ電流を流すと、二つのコイルの
中心付近ではかなり一様な磁場を作れる。磁場の一様性を調べよ(このよう
なコイルをヘルムホルツ・コイルとよぶ) |
問題のコイルの1個が軸上に作る磁場
は、対称性により、軸上磁場は軸の方
向に向いているはずである。その様子を図6
の左の絵で示す。このコイルの小さい電流要素
が作る磁場は、ビオ-
サバールの法則
 |
(15) |
から計算できる。これから、その磁場は図
6
の右の絵のようになる。軸上の磁場

は、微小電流

がつくる微小
磁場

をコイルの一周にわたって、足し合わせれば良い。
図から分かるように、微小磁場
は軸の垂直成分もある。しかし、
これは、コイル1週にわたって足し合わせると、ゼロになる。コイル1周にわたっ
て合計すると、残るのは軸上の成分のみである。コイルの軸上の成分は、
 |
 |
|
| |
は、軸方向の単位ベクトル |
|
| |
と
は直交しているので |
|
| |
 |
|
| |
 |
|
| |
 |
|
| |
 |
(16) |
となる。これをコイルの全ての電流で積分することになるが、

を利用すると計算が楽である。磁場は
となる。これで準備ができた。あとは、ヘルムホルツコイルになるように、座
標を設定するだけである。
ヘルムホルツコイルは、図7のような構成になって
いる。この2つのコイルの中心を
とする。この場合、左右のそれぞれのコ
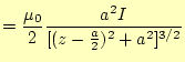
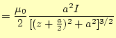
イルが作る磁場は、式(17)を用いると、
と計算できる。

座標をシフトさせただけである。それぞれのコイルが作る
磁場とそれを合計ヘルムホルツコイルの磁場を図
8
に示す。ヘルムホルツコイルの磁場は、中心付近でかなり一様性が良いことが
分かる。これがヘルムホルツコイルの特徴である。
次に
付近の磁場の一様性を調べる。そのために、それぞれのコイルが作
る磁場について、
の周りでテイラー展開する。展開の結果は
となる。これから、これら2つのコイルの和であるヘルムホルツコイルの磁場
は
 |
![$\displaystyle =\frac{\mu_0a^2I}{2}\left[ \frac{16}{5\sqrt{5}a^3} -\frac{2304}{625\sqrt{5}a^7}z^4 +O(z^6) \right]$](img72.png) |
(22) |
となる。要するに、ヘルムホルツコイルの中心付近では、
- それぞれのコイルの1次の成分はない。
- 2次と3次の成分は、それぞれのコイルでキャンセルされる。
と言うことである。このことから、ヘルムホルツコイルの中心付近の磁場は、4次
の成分まで一様である。
図 7:
ヘルムホルツコイルの構成。図8で
は、 で計算。
|
|
|
|
図 8:
ヘルムホルツコイルの各々コイルの磁場と、それを合成した磁場。
|
|
|
|
ホームページ:
Yamamoto's laboratory著者:
山本昌志
Yamamoto Masashi
平成16年12月28日