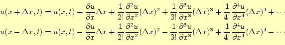
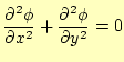
2次元のラプラス方程式
を数値計で解くことを考える。まずは、いつものように、解

をテイラー展開
する。xおよび、y方向に微小変位

があった場合、
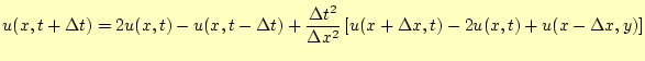
となる。これらの式の辺々を足し合わせえると、
が得られる。このことから、2階の偏導関数の値は微小変位

の場所の関数の値を用いて、

の精度で近似計算ができることが分かる。すなわち、式(
27)
の

を除いた右辺を計算すればよいのである。同じことをy方向についても行うと
が得られる。
これらの式(27)と(28)を元の2次元ラプラス
方程式(24)に代入すれば、
となる。これが、2次元ラプラス方程式の差分の式である。この式を眺めると、座標

のポテンシャルの値

は、周りの値の平均であることがわかる。
実際にこの式を数値計算する場合、計算領域を間隔
で格子状3に区切り、その交点での値を求めることになる。
ここでは、xおよびy方向には等間隔
で区切り計算を進めるが、等間隔である必要はな
い。多少、式(29) は異なるが同じような計算は可能である。これまでの説
明が理解できていれば、xとy方向の間隔が異なっても、式(29)に対応する差
分の式が作れるはずである。
実際、数値計算をする場合、
や
の形は不便なので、形式を改め
る。各格子点でのポテンシャルを
とする。このようにすると、式(
29)は
となり、数値計算し易い形になる。
ラプラス方程式は式(31)の連立方程式を解くだけである。格子に領域を分
割することにより、難しげな偏微分方程式が連立方程式に還元されたわけである。
連立方程式を解くわけであるが、このままでは、式の数と未知数の数が異なる。格子点で
のポテンシャルの値を求めるためには、境界条件を設定する必要がある。それにより、式
の数と未知数の数が同一になり、格子点でのポテンシャルを求めることができる。
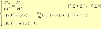
弦の長さが1、そこを伝わる波の速度を1として、弦の横波の様子を数値計算で解くことを
考える。1次元波動方程式を数値計で解くことを考える。計算に移る前に、解くべき方程
式と条件をきちんと書いておく。解くべき方程式と条件は、
となる。弦を伝わる波の速度は1、弦の長さも1としている。この最初の式は波動方程式で
あるが、2番目を初期条件、3番目を境界条件と言う。
波動方程式の他に、初期条件と境界条件がある。力学的状態は、ある時刻、ここでは
の時の変位とその変位の速度が決まれば、それ以降を決めることができる。振動の
場合は、これに加えて更に、振動の境界条件を決める必要がある。これらが決まって初め
て、波動方程式とともに、振動の状態、ある時刻と位置の変位の値が決まるわけである。
図4に初期条件と境界条件の様子を示す。
図 4:
時刻
のときの弦の様子(スナップショット)。初期条件と境界
条件が表されており、y方向の速度が
になっている。
|
|
まずは、波動方程式を差分方程式に書き直すことからはじめる。これも、いつものように、
解
をテイラー展開する。x方向の微小変位を
、時間軸方向の微小変位
を
とする。すると、
となる。これらの式の辺々を足し合わせえると、
が得られる。このことから、2階の偏導関数の値は微小変位

の場所の関数の
値を用いて、

の精度で近似計算ができることが分かる。すなわち、式(
34)の右辺の第1項を計算すればよいのである。ラプラス
方程式と同じである。同様なことを時間軸方向についても行うと
が得られる。
これらの式(34)と(35)を元の波動
方程式(32)に代入すれば、
となる。これが、1次元波動方程式の差分の式である。この式を計算し易いよ
うに、もう少し変形すると、
とすることができる。この式の右辺は、時刻

と

の値でである。
そして、左辺は時刻

の値である。このことから、式
(
37)を用いると、時刻

と

の値から、

の値が計算できることになる。
実際に式(37)を数値計算する場合、x方向には
、時間
軸方向には
毎に分割する。ラプラス方程式を格子点で分割したのと
同じである。格子点に分割し数値計算する場合、
や
と表現する
よりは、
と表現したほうが便利である。そこで、
と表現を改める。このようにすると、式(
37)は
となり、数値計算し易い形になる。ただし、
 |
(38) |
である。
ホームページ:
Yamamoto's laboratory著者:
山本昌志
Yamamoto Masashi
平成17年3月1日