コンデンサーを規定する重要な性質にキャパシタンス(静電容量)があるのは、十分承知し
ていると思う。これを計算する方法は、いろいろある。その中で、私が好んで使う方法は、
エネルギーから計算する方法である。これは、電場の状態がキャパシタンスを決めるとい
う意味で非常に物理的意味が分かりやすい。空間に電場

が分布している場合、その
エネルギー

は
となる。

が静電場のエネルギー密度になっている。信
じられない、それならば次元解析をしてみよ。
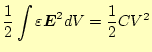
また、よく知られているように、コンデンサーの電圧
とキャパシタンス
、
そして、そこにたまっているエネルギーの関係は、
である。コンデンサー内部では、それらは図
1のような関係になっ
ている。これからも分かるように、コンデンサーの内部には式
(
1)が示す静電場のエネルギーが蓄えられている。一方、電
気的には、式
2が示すエネルギーが蓄えられている。
これらのエネルギーは、当然等しいので、
という関係がある。この式の左辺の電場はいろいろな方法で計算でき、静電場のエネル
ギーを求めることができる。一方、電圧

は予め与えられているので、このエネルギーをつ
かって、静電容量が計算できる。要するに、静電場

を求めることができれば、静電容
量

が計算できるのである。
いままで、よく分からなかった静電容量というものは、コンデンサーに蓄えられるエネルギーを示す
指数と考えて良い。私は、この考え方が好きである。なにしろ、分かりやすい。
先に示したとおり、コンデンサー内部の電場が分かれば、そのキャパシタンスを求めるこ
とができる。それは簡単ではないか、電圧

を電極間距離

で割れば、

と求め
られると言う人がいる。これは、コンデンサー内部で誘電率が一様な場合は正しい。そん
な単純な問題は、いままでさんざん学習してきたし、つまらない。ここでは、もう少し難
しい問題を解くことにする。
誘電率が、3次元(
の関数)で変化すると計算が大変なので、1次元問題に限ること
にする。2次元や3次元も考え方は同じであるが、計算は大変である。ここで、計算するコ
ンデンサー内部は、図2のとおりとする。誘電率は、座標の関数で、
変化するものとする。
このような場合の電場はどうなるのであろうか?。一つの方法は、ポアッソン方程式
2
 |
(4) |
を解くことである。ここで、
はポテンシャルで、電圧のことである。少し気取って
書いているのである。この微分方程式を

の境界条件で解けば良
い。そうすると必要なものが全て計算できるので、静電容量を計算できる。しかし、今回
は、この方法で計算しないことにする。
ポアッソン方程式の代わりに、コンデンサー内部の電場は、そのエネルギーが最小になる
ように分布すると言う原理を使う。当然、このばあいでも、境界条件
は課せられている。コンデンサーの内部のエネルギーは、1次元
なので、
と書ける。
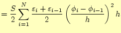
このポテンシャル分布をコンピューターに計算させるために、コンデンサーの内部を細か
くN等分に区切る。この様子を図3に示す。すると、エネルギーは
となる。
静電場のエネルギーが最小になるためには、微分がゼロになる必要がある。このエネルギー
をポテンシャル
で微分すると
![$\displaystyle \if 11 \frac{\partial U_s}{\partial \phi_i} \else \frac{\partial^...
...2} \left(\frac{\phi_{i+1}-\phi_{i}}{h}\right) \right]\qquad(i=1,2,3,\cdots,N-1)$](img28.png) |
(7) |
となる。

が最小値になるためには、

となる必要がある。
また、コンデンサーの両端の電圧は固定されているので、

で

である。
従って、これらをまとめると
となる。要するに、この連立1次方程式を計算すれば、任意の誘電率の場合のコンデンサー内部のポテ
ンシャル(電圧)が得られる。ポテンシャルが分かれば、電場が分かり、そうすると内部の
エネルギーが計算できる。従って、静電容量が求められるわけである。
じつは、ここで示した計算方法は有限要素法と呼ばれている。
- ...このような場合の電場はどうなるのであろうか?。一つの方法は、ポアッソン方程式
2
-
と
から求められる。
ホームページ:
Yamamoto's laboratory著者:
山本昌志
Yamamoto Masashi
平成16年12月22日