ある物理量を測定して

個の値が得られたとしよう。それらは、

の2次元座標で
示すことができるでしょう。この全ての点を通る関数を求めることが補間法の
課題です。N次関数を使えばその目的が達成できると容易に分かります。すな
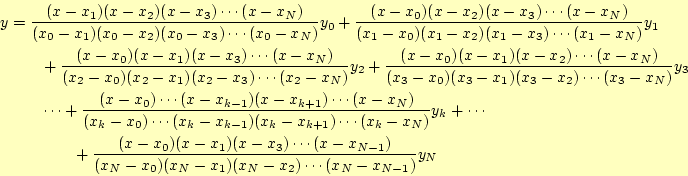
わち、
と補間するわけです。この係数

を求めれば、補間の関数が求められたこ
とになります。この係数は、N+1元の連立1次方程式を解くことにより求めるこ
とができます。
連立方程式の計算は時間がかかります。それに代わるもっと良い方法がありま
す。ここではN次関数で表現できれば良いわけで、以下がそれになります。
この式(
2)を見ると、
- 各項の分子は定数である。分母はN次関数です。このことから、全て
の項はN次関数になっているので、この式はN次関数(N次多項式)です。
に
を代入すると、
の値は
になることが分かります。これは、データ点
の全てを
通過していることを示してます。
となっている。これは、表現こそ違うものの式(
1)と同
じです。これは、式(
1)の

を求めて補間の関数を
求める必要は無く、式(
2)を使
えばよいということです。この補間をラグランジュの補間多項式
(Lagrange's interpolating polynomial)と言います。式
(
2)をもうちょっと格好良く書
けば、
となります。
補間の点数が増えてくると、ラグランジュの補間には問題が生じます。具体例を図に示します。これを見ると分かるように、補間の関数が振動しています。ラグランジュの補間では、補間の点数が増えてくると大きな振動が発生して、もはや補間とは言えなくなります。ラグランジュの補間には常にこの問題が付きまといますので、データ点数が多い場合は使えません。ほかの補間を考える必要があります。
図 4:
ラグランジュ補間の問題点。
を10点で補間
(点線)したが、両端で振動する。
|
|
ホームページ:
Yamamoto's laboratory著者:
山本昌志
Yamamoto Masashi
平成17年1月14日