一般化固有値問題は、以下の形で与えられる。
 |
(1) |
共役勾配法ではこのような固有値問題の最小固有値を求められる。
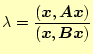
は,Raylaigh商から求められる.
 |
(2) |
最急勾配方向1
を以下に示す.
 |
(3) |
固有ベクトルは以下のように反復法で求められる.
| |
 |
(4) |
| |
 |
(5) |
ただし,
をランダム関数などを使って適当に決め,
として,
から計算し始める.
ここで,
を求めなくてはいけないが,これは
が最小になる
ように選べばいいので,
 |
(6) |
すなわち,
![$\displaystyle \frac{\partial }{\partial \alpha_i} \left( \frac{(\boldsymbol{x}_...
..._i, \boldsymbol{B}[\boldsymbol{x}_i + \alpha_i \boldsymbol{p}_i] )} \right) = 0$](img14.png) |
(7) |
となるように
を決める.ここで,これを計算すると,
 |
(8) |
ただし,
と置いた.
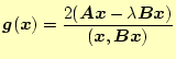
ここで,
は2つでてきたが,実際は
のところを
にする.
つまり,
 |
(9) |
である.
ここで,手順をまとめると次のようになる.
-
をランダム関数などを使い,適当に決める.
-
とする.
-
-
- 収束判定をして,収束が十分でなければ
として,4に戻る.
これで,最小の固有値と固有ベクトルが求められる.
ホームページ: Yamamoto's laboratory
著者: 夏井拓也
natui takuya
平成17年12月22日