3 曲線要素

3.1 座標変換

図 3: 曲線要素
\includegraphics[width=100mm]{motozahyou.eps}
ある曲線2次要素の座標が図3のようになっていると する。 ここで、節点1から2までの間が曲線になっている。この曲線上に節点4があると する。節点4は節点1と節点2から、等距離の位置にあるとする。

この曲線は、$ y=ax^2$の形の2次関数を移動(回転と平行移動)させたもので、 節点4の位置での傾きが、節点1と節点2を通る直線の傾きに等しいとする。

まずは、直線の三角形要素を座標変換したときと同じ式で座標変換する。 その図を図4に示す。

図 4: 座標変換
\includegraphics[width=120mm]{henkan1.eps}

この変換の式は直線要素を変換した式に等しい。つまり、 式(1),(2)で表される。 また、図4の中の、$ k_x, k_y$$ x',y'$座標での節点4の座標 である。その意味では、 $ x_{4}',y_{4}'$と表した方がよかったかも。 これを求めると以下のようになる。

$\displaystyle k_x$ $\displaystyle = \frac{(x_4-x_3)(y_2-y_3) -(y_4-y_3)(x_2-x_3)} {(x_1-x_3)(y_2-y_3) -(y_1-y_3)(x_2-x_3)}$ (29)
$\displaystyle k_y$ $\displaystyle = \frac{(x_1-x_3)(y_4-y_3) -(y_1-y_3)(x_4-x_3)} {(x_1-x_3)(y_2-y_3) -(y_1-y_3)(x_2-x_3)}$ (30)

曲線要素を座標変換するときは、その変換が二段階に分かれていて、 $ x,y \to x',y' \to x'',y''$と変換していく。

さあいよいよ曲線を直線に変える。この変換は線形ではない、と思う。 とりあえずその式は、以下のようになる。

$\displaystyle x'$ $\displaystyle = x'' +(4k_x-2)x''y''$ (31)
$\displaystyle y'$ $\displaystyle = y'' +(4k_y-2)x''y''$ (32)

この式で、2次曲線が直線になる。 これで合っているだろうが、厳密に証明もしてないから、誰か証明して。

次に、$ x,y$$ x'',y''$を使って表してみると、以下のようになる。

$\displaystyle x$ $\displaystyle = (x_1-x_3)\{x'' +(4k_x-2)x''y''\} +(x_2-x_3)\{y'' +(4k_y-2)x''y''\} +x_3$ (33)
$\displaystyle y$ $\displaystyle = (y_1-y_3)\{x'' +(4k_x-2)x''y''\} +(y_2-y_3)\{y'' +(4k_y-2)x''y''\} +y_3$ (34)

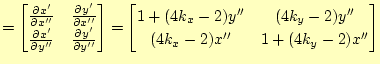
$ x',y'$から$ x'',y''$への変換をするときのヤコビアン行列 $ \boldsymbol{J}_2$ およびヤコビアン $ \vert\boldsymbol{J}_2\vert$は以下のようになる。

$\displaystyle \boldsymbol{J}_2$ $\displaystyle = \begin{bmatrix}\frac{\partial x'}{\partial x''} & \frac{\partia...
...matrix}1+(4k_x-2)y'' & (4k_y-2)y'' \ (4k_x-2)x'' & 1+(4k_y-2)x'' \end{bmatrix}$ (35)
$\displaystyle \vert\boldsymbol{J}_2\vert$ $\displaystyle = 1+(4k_x-2)y''+(4k_y-2)x''$ (36)

また演算子の変換は、

$\displaystyle \begin{bmatrix}\frac{\partial }{\partial x} \ \frac{\partial }{\...
...}\frac{\partial }{\partial x''} \ \frac{\partial }{\partial y''} \end{bmatrix}$ (37)

より以下のようになる。

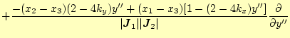
$\displaystyle \frac{\partial }{\partial x}$ $\displaystyle = \frac{-(y_1-y_3)(2-4k_x)x'' +(y_2-y_3)[1-(2-4k_y)x'']} {\vert\boldsymbol{J}_1\vert \vert\boldsymbol{J}_2\vert} \frac{\partial }{\partial x''}$    
  $\displaystyle + \frac{(y_2-y_3)(2-4k_y)y'' +(y_1-y_3)[1-(2-4k_x)y'']} {\vert\boldsymbol{J}_1\vert \vert\boldsymbol{J}_2\vert} \frac{\partial }{\partial y''}$ (38)
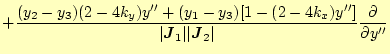
$\displaystyle \frac{\partial }{\partial y}$ $\displaystyle =\frac{(x_1-x_3)(2-4k_x)x'' -(x_2-x_3)[1-(2-4k_y)x'']} {\vert\boldsymbol{J}_1\vert \vert\boldsymbol{J}_2\vert} \frac{\partial }{\partial x''}$    
  $\displaystyle + \frac{-(x_2-x_3)(2-4k_y)y'' +(x_1-x_3)[1-(2-4k_x)y'']} {\vert\boldsymbol{J}_1\vert \vert\boldsymbol{J}_2\vert} \frac{\partial }{\partial y''}$ (39)

3.2 形状関数

曲線要素の場合も、座標変換してしまえば要素の形は直線要素と同じになる。 だから、形状関数の形も全く同じになる。ただ $ x',y' \to x'',y''$となるだけ である。一応、改めて書いておくと以下のようになる。

$\displaystyle g_1(x'',y'')$ $\displaystyle = 2 x'' \left( x''-\frac{1}{2} \right)$ (40)
$\displaystyle g_2(x'',y'')$ $\displaystyle = 2 y'' \left( y''-\frac{1}{2} \right)$ (41)
$\displaystyle g_3(x'',y'')$ $\displaystyle = 2 (-x''-y''+1)\left( -x'' -y'' -\frac{1}{2} \right)$ (42)
$\displaystyle g_4(x'',y'')$ $\displaystyle = 4 x''y''$ (43)
$\displaystyle g_5(x'',y'')$ $\displaystyle = 4 y''(y''-x''+1)$ (44)
$\displaystyle g_6(x'',y'')$ $\displaystyle = 4 x''(x''-y''+1)$ (45)

形状関数の$ x$偏微分、$ y$偏微分は、式(38),(39)を 用いれば求められる。

でも、ここで書くのは面倒なので、省略。


ホームページ: Yamamoto's laboratory
著者: 夏井拓也
natui takuya
平成18年1月11日