以前,常微分方程式の数値計算について学習した.独立変数が1個のものを常微分方程式,
2個以上のものを偏微分方程式と言うのは数学の授業で学んだとおりである.実際,自然
現象は常微分方程式よりも,偏微分方程式で記述されることが多い.常微分方程式が役に
立たないと言っているのではなく,より広範囲には偏微分方程式が使われているというこ
とである.自然界が,
の3次元と時間
を合わせた4次元で成り立っているた
めである.
諸君は偏微分方程式の境界値問題は,4年生の応用解析で学習している.思い出してほし
い,次のような手順で偏微分方程式の解を求めたはずである.
-4pt
- 解を変数分離して,偏微分方程式を連立の常微分方程式に直す.
- 境界条件を満たすように常微分方程式を解く.ここらあたりは,三角関数の和に
なることが多い.
- 各々の常微分方程式の解の積がもとの偏微分方程式の解となる.
このようにして,得られる解析解は厳密で誤差はゼロである.しかし,厳密な解析解が得
られるのは,境界が単純な場合に限られる.通常の工学の問題では,複雑な境界のもと偏
微分方程式の解の値が必要となる.このようなときに,数値計算の出番である.
コンピューターを用いた数値計算で偏微分方程式を解くために,様々な方法が開発されて
いる.例えば,差分法や有限要素法,境界要素法,有限積分法,その他いろいろな方法が
ある.ここでは,ラプラス方程式を差分法というテクニックで数値計算する方法を学習す
る.偏微分方程式は,いろいろなものがあるが,最初に学習する分には,意味がわかりや
すい方程式と言うことで,これを教材に選んだ.実際には,図1の静
電磁場や,図2の熱の問題に,この方程式は表れる.
- 図1は,紙面と垂直方向に無限に長い正方形の金属筒に,電線
が2本通っている.正方形の筒は0Vにアースされており,2本の電線はそれぞれ,
30Vと-20Vである.この状態で,筒内部のポテンシャル(電圧)の分布を求めなさい
という問題である.
- 図2は,紙面方向に非常に長い豆腐があり,その周りは0
℃の水で満たされている.そして,その豆腐に30℃と-20℃の金属棒が突き刺
さっている状況である.豆腐内部の温度分布を求めなさいというのが問題であ
る.
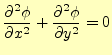
これらは,物理的には異なる問題であるが,ポテンシャルや温度が満たす方程式は同じで
ある.方程式が同じならば解は同じで,同じ計算手法が使える.これらが満たすのはラプ
ラス方程式
 |
(1) |
と呼ばれている.
はポテンシャル(電圧)であったり温度で,
の3つの独立
変数がある.ここでは,三次元の問題は大変なので,図1や図
2のように紙面の方向(
方向)には一様とする.そのため,
方
向の微分はゼロとなるので,ラプラス方程式は,
と二次元問題になる.ここではこの偏微分方程式の近似解を数値計算により求めるのが目
的である.ここでの学習を通して,プログラムが完成すると,図3のよ
うな解のグラフが得られる.
図 3:
差分法により計算された,ポテンシャルや温度のグラフ.
|
|
ホームページ: Yamamoto's laboratory
著者: 山本昌志
Yamamoto Masashi
平成20年1月16日