7 初期値と計算の終了

良い初期値が与えられれば,計算は早く収束するだろう.ただ,良い初期値というものが なかなか分からない.問題を考えて,あまり見当違いのない初期値を与えるのが良いだろ う.収束は早いので,初期値を複雑にしない方が良い.

次に計算の終了判定を考える必要がある.十分,真の解に近づいたときに計算を終了しなくてはな らないが,その見極めが重要である.ここでは,2つの方法をしてしておく.収束判定のパラメー ターとして,十分小さい $ \varepsilon$をつかう.

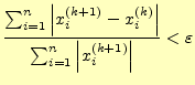
まず,はじめに示すのが,平均的な修正量を考える場合である.以下の条件が成立したと きに計算を止める.

$\displaystyle \frac{\sum_{i=1}^{n}\left\vert x_i^{(k+1)}-x_i^{(k)}\right\vert} {\sum_{i=1}^{n}\left\vert x_i^{(k+1)}\right\vert}<\varepsilon$ (27)

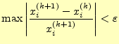
次に最大の修正量を考える場合である.これは,以下の条件が成立したときに計算を止める.

$\displaystyle \max\left\vert\frac{x_i^{(k+1)}-x_i^{(k)}}{x_i^{(k+1)}}\right\vert<\varepsilon$ (28)




ホームページ: Yamamoto's laboratory
著者: 山本昌志
Yamamoto Masashi
平成19年11月8日


no counter