5 ガウス・ザイデル法

ヤコビ法では, $ \boldsymbol{x}^{(k+1)}$の近似値の計算にすべてその前の値 $ \boldsymbol{x}^{(k)}$を使 う.大きな行列を扱う場合,全ての $ \boldsymbol{x}^{(k+1)}$ $ \boldsymbol{x}^{(k)}$を記憶する必要が あり,大きなメモリーが必要となり問題が生じる [1].今では, 個人で大きなメモリーを使うことは許されるが,ちょっと前まではできるだけメモリーを 節約したプログラムを書かなくてはならなかった.

そこで, $ \boldsymbol{x}^{(k+1)}$の各成分の計算が終わると,それを直ちに使うことを考えれば, メモリーは半分で済む.即ち, $ x_i^{(k+1)}$を計算するときに,

\begin{multline}
x_i^{(k+1)}=a_{ii}^{-1}\left\{b_i-(
a_{i1}x_1^{(k+1)}+a_{i2}x...
...+2}^{(k)}+a_{ii+3}x_{i+3}^{(k)}+\cdots+
a_{in}x_n^{(k)})\right\}
\end{multline}

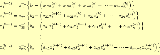
とするのである.実際の計算では,$ k+1$番目の解は

\begin{equation*}\begin{aligned}&x_1^{(k+1)}=a_{11}^{-1}\left\{b_1-\left( a_{12}...
...)}+\cdots+a_{nn-1}x_{n-1}^{(k+1)}\right)\right\} \\ \end{aligned}\end{equation*}

と計算できる.これが,ガウス・ザイデル法である.

このガウス・ザイデル法は,$ k$番目と$ k+1$番目の解を混ぜて使うという,大胆なことをやっ ているが,研究の結果,収束条件はヤコビ法とほとんど同じと言うことである.ヤコビ法 と比べてどちらが良いかというと

となる.ヤコビ法を使うよりは,ガウス・ザイデル法を使う方が良いであろう.


ホームページ: Yamamoto's laboratory
著者: 山本昌志
Yamamoto Masashi
平成19年11月8日


no counter