3 ガウス消去法と後退代入

ガウス消去法とガウス・ジョルダン法は単純で,諸君が今まで連立1次方程 式を計算してきた方法と同じである.

ガウス消去法というのは,連立方程式 (4)を次にように変形させて,解く方法である.

\begin{equation*}\begin{aligned}\begin{bmatrix}a_{11}^\prime & a_{12}^\prime & a...
... \\ b_3^\prime \\ \vdots\\ b_N^\prime \end{bmatrix} \end{aligned}\end{equation*}

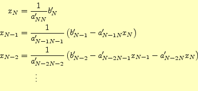
このように式を変形する方法をガウスの消去法と言う.実際の変形方法については,次の ガウス・ジョルダン法とほとんど同じでなので,次節を参考にすること.このように式が 変形できると後は簡単で,次にように$ x_N$から$ x_1$まで順次計算する. $ \boldsymbol{x}$の値は,

\begin{equation*}\begin{aligned}x_N&=\frac{1}{a_{NN}^\prime}b_N^\prime \\ x_{N-1...
... x_{N-1}-a_{N-2N}^\prime x_N\right)\\ &\qquad\vdots \end{aligned}\end{equation*}

と求めることができる.この式は,

$\displaystyle x_i=\frac{1}{a_{ii}^\prime}\left[ b_i^\prime-\sum_{j=i+1}^N a_{ij}^\prime x_j \right]$ (8)

とまとめることができる.これを使って,$ N$0まで処理することを後退代入と言う. 重要なことは,後ろ$ N$から処理することで,決して,$ 1$から処理することはできない. ガウス消去法と後退代入により連立1次方程式は,コンピューターで容易に解くことがで きる.


ホームページ: Yamamoto's laboratory
著者: 山本昌志
Yamamoto Masashi
平成19年10月25日


no counter