これは,
if文や繰り返し文の良い練習問題である.なにも,見ないでプログラムが
作成できるようになるまで,繰り返し練習せよ.
- [練習1]
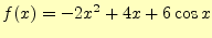
- 関数
| |
 |
|
 |
|
(3) |
の最大値を計算するプログラムを作成せよ.計算のステップ幅は,
0.0001とする.この時の計算回数を考えてみよ.コンピューターは猛
烈な勢いで計算することを理解せよ.
- [練習2]
- 基礎数学の教科書p.63の練習問題2-Bの1.(2)の連立不等式
| |
 |
|
 |
|
(4) |
を計算するプログラムを作成せよ.計算のステップ幅--計算精度を表す--
は,
とせよ.
ホームページ:
Yamamoto's laboratory著者:
山本昌志
Yamamoto Masashi
平成18年10月20日