| [問1] |
|---|
図の回路の両端AB間に電圧
をかけたとき、図の電流
の強さを最小にするには、P
点の位置をCD間のどこにすればよいか。
|
教科書にならいCP間の抵抗を
とする。すると、PD間の抵抗は
となる。あとは、
キルヒホッフの法則を使えば計算できる。左の回路
に流れる電流を
、右の回路に流れる電流を
とする。すると、以下の連立方程式
が成り立つ。これから、

を求めることになるが、めんどくさいのでMathematicaを使
う。すると
となる。
この電流を最小にするためには、分母を最大にする必要がある。幸いなことに、分母は上
に凸な二次関数なので、最大値がある。導関数がゼロの場合で、
となる。したがって、
となり、丁度、

の中点にPにすればよい。
| [問2] |
|---|
起電力が
、内部抵抗が
の
個の電池を直列または並列に接続し、これを抵
抗
につないだとき、それぞれの回路を流れる電流の強さを求めよ。
|
個直列につないだ場合は、
の電圧が
の抵抗と
の抵抗に印可されたと
考える。したがって、この場合、流れる電流は、
となる。
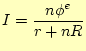
並列につないだ場合の抵抗
に流れる電流を
とする。すると、各電池に流れる電流は
となる。オームの法則とキルヒホッフの法則を使うと、
となる。これから、電流は、
となる。
ホームページ:
Yamamoto's laboratory著者:
山本昌志
Yamamoto Masashi
2005-11-15