力学のエネルギー保存則はよく知られている。また、これまでの自然科学の学習の経験か
らエネルギー保存則はどのような場合でも成立することは分かっていると思う。ここでは、
力学と電磁気学を含めた系でもそれが成立することを示す。
エネルギー保存則については、完全に教科書に沿って説明しよう。電磁場中での運動方程
式も教科書に沿って
 |
(10) |
とする。相対論的補正は加味されていないが、それを入れても同じ結果が得られるであろ
う。
電磁場中に2つの電荷があったとする。それぞれの電荷量を
と
、質量を
と
とする。それぞれの運動方程式は、
| |
 |
(11) |
| |
 |
(12) |
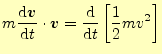
となる。このての方程式を積分するときは、両辺に

の内積を乗じるのが常套手段
である。そうすると、
![$\displaystyle m\frac{\mathrm{d}\boldsymbol{v}}{\mathrm{d}t}\cdot\boldsymbol{v}= \frac{\mathrm{d}}{\mathrm{d}t}\left[\frac{1}{2}mv^2\right]$](img35.png) |
(13) |
となる。本当にそうなるかは、

に注意して、右辺を微分してみれ
ば分かる。したがって、先の運動方程式は
となる。ここでは、

と

は直交することを利用した。この式
は、磁場

は電荷にエネルギーを与えることが出来ないと言っている。左辺の括弧
内は運動エネルギー

を表している。両辺を積分すると、

となり、運動エネルギーの変化は電場と変位の内積となる。
運動エネルギーに磁場は全く寄与しないのである。それならば、発電機はどうなっている
のか?と言う疑問が湧くであろう。これについては、前回の授業で述べたはずである。こ
こでは、運動エネルギーについてのみ述べたが、ポテンシャルエネルギー(位置エネルギー)
を含めても同じことが言える。
系全体の運動エネルギーの変化と電磁場の関係が見るために、先ほどの2つの運動方程式
を足しあわせよう。この操作をするときに、荷電粒子は大きさを持つものとし、その電荷
密度を
とする。したがって、電流密度は
となるので、これを
考慮すると、
![$\displaystyle \frac{\mathrm{d}}{\mathrm{d}t} \left[\frac{1}{2}m_1v_1^2+\frac{1}...
...right] =\int_V(\boldsymbol{j}_1+\boldsymbol{j}_2)\cdot\boldsymbol{E}\mathrm{d}V$](img50.png) |
(16) |
となる。当然、積分領域は考えている系全体である。
次に、マクスウェルの方程式の式4を使う。すると、
 |
(17) |
となる。教科書には、この式の右辺は2粒子の作る場と書いてあるが、それは場の一部に
すぎない。この式は、右辺のように電磁場を微分するとそれは電流密度
になると言っているだけである。その電磁場は当然、2粒子が作るものも含まれるが、ほ
かの理由により存在する電磁場も含む。この式を使うと、2粒子の運動エネルギーに関す
る式は
 |
(18) |
となる。この式の左辺は運動エネルギーに、いっぽう右辺は電磁場に関するものである。
だんだんと、力学的なエネルギーと電磁場のエネルギーの関係に近づいたことが実感出来
るであろう。
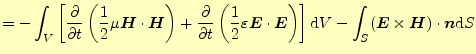
さて、
 |
(19) |
のようなベクトル恒等式がある
4。これを用いると、
となる。左辺は粒子の運動エネルギーの変化を表している。右辺第一項は電磁場のエネル
ギーの変化である。第二項は、エネルギーの流れを表している。この辺の事情については
後で述べることにする。この式は、
と書き改めることができる。
![$\displaystyle \frac{\mathrm{d}}{\mathrm{d}t}\left[ \frac{1}{2}m_1v_1^2+\frac{1}...
...t] +\int_S(\boldsymbol{E}\times\boldsymbol{H})\cdot\boldsymbol{n}\mathrm{d}S =0$](img61.png) |
(21) |
この式のそれぞれの項は、
| |
 |
|
粒子の運動エネルギー
![$ \mathrm{[Jule]}$](img63.png) |
|
| |
 |
|
磁場のエネルギー密度
![$ \mathrm{[Jule/m^3]}$](img65.png) |
|
| |
 |
|
電場のエネルギー密度[
![$ \mathrm{Jule/m^3]}$](img67.png) |
|
| |
 |
|
単位面積あたりのエネルギーの流れ
![$ \mathrm{[Watt/m^2]}$](img69.png) |
|
|
を意味している。運動エネルギーについては、力学で学習したとおりである。電磁場のエ
ネルギーに関しては静電場での話と同じである。最後の項のみここで追加されたことにな
る。エネルギー保存則を満足させるためには、最後の項はエネルギーの流れ[

]
となる必要がある。本当にエネルギーの流れになっているかは、実験で確かめる必要があ
る。いろいろな実験の結果、この式がエネルギーの流れを表していることが確かめられて
いるのである。このエネルギーの流れのベクトル
 |
(22) |
は、発見者の名から、ポインティングベクトルと呼ばれている。
これらのエネルギーの関係は、図1のように表すこと
ができる。
ホームページ:
Yamamoto's laboratory著者:
山本昌志
Yamamoto Masashi
平成19年6月24日