9 練習問題

[問1]
二分法とニュートン法を用いて、以下の非線形方程式の実数の近似解を求 めるプログラムを作成せよ。

$\displaystyle x^3-3x^2+9x-8=0$    

$\displaystyle x+e^x+\sin x=0$    

[問2]
ニュートン法を用いて、次の非線形方程式の複素数の近似解を求めるプログラ ムを作成せよ。

$\displaystyle z^3-3z^2+9z-8=0$    

ちなみに、複素数の近似解は、

\begin{equation*}\begin{aligned}z&=0.91704720793889364143180634077+2.45369996069...
...889364143180634077-2.45369996069857723147134512148i \end{aligned}\end{equation*}

である。実数解は、

$\displaystyle z=1.16590558412221271713638731846$    

である。
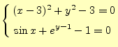
[問3]
ニュートン法を用いて、次の非線型連立方程式の実数の近似解を求めるプログラ ムを作成せよ。

$\displaystyle \left\{ \begin{aligned}&(x-3)^2+y^2-3=0\\ &\sin x+e^{y-1}-1=0 \end{aligned} \right.$

ちなみに、近似解は、

\begin{equation*}\begin{aligned}(x&=3.85779488720852212145788558016052,& y&=1.50...
...08853074,& y&=-1.412340094158768341643120106831151) \end{aligned}\end{equation*}

である。さあ、この近似解が得られるように、がんばろう。

ホームページ: Yamamoto's laboratory
著者: 山本昌志
Yamamoto Masashi
平成19年6月24日


no counter