ガウス消去法とガウス・ジョルダン法は単純で、諸君が今まで連立1次方程
式を計算してきた方法と同じである。
ガウス消去法というのは、連立方程式
(4)を次にように変形させて、解く方法である。
このように式を変形する方法をガウスの消去法と言う。実際の変形方法については、次の
ガウス・ジョルダン法とほとんど同じでなので、次節を参考にすること。このように式が
変形できると後は簡単で、次にように
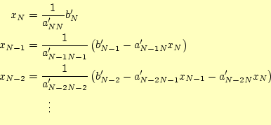
から
まで順次計算する。
の値は、
と求めることができる。この式は、
![$\displaystyle x_i=\frac{1}{a_{ii}^\prime}\left[ b_i^\prime-\sum_{j=i+1}^N a_{ij}^\prime x_j \right]$](img30.png) |
(8) |
とまとめることができる。これを使って、

〜
0
まで処理することを後退代入と言う。
重要なことは、後ろ

から処理することで、決して、

から処理することはできない。
ガウス消去法と後退代入により連立1次方程式は、コンピューターで容易に解くことがで
きる。
ホームページ:
Yamamoto's laboratory著者:
山本昌志
Yamamoto Masashi
2005-11-18