ミクロ的な立場で見ると、Maxwellの方程式は、
である。電磁場については、これが全てで、これを解けば全て分かる。分極に
よる電場も、分極電荷から生じると考えれば、この式で十分である。分極電流
もこれに含むことができる。磁化分極の電流も含めることができる。
しかし、分極電荷が問題となるような微少領域まで考えて、電磁場を計算する
のは、いかにも大変である。そこで、マクロ的な立場から、Maxwellの方程式
を書き直す。追加するのは、
である。これに加えて、実電荷(真電荷)による電流と電荷密度がある。これは
一般には、

と

と書かれる。ミクロ的な立場のMaxwellの方程式
(
9)の

と

には、電気分極や磁気分極の電
荷密度や電流が含まれるが、以降のマクロ的な立場では、それらは実電荷のみ
が担う。
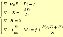
マクロ的な立場で、電気分極や磁気分極による電荷や電流を区別して書いた
Maxwellの方程式は、
となる。これは、式(
9)の電荷密度や電流の項を、電
気分極、磁気分極、実電荷によるものに分けたのである。これが、物質中での
マクロなMaxwellの方程式である。しかし、この式は複雑であまり見通しがよ
くない。そこで、ミクロな式(
9)に似た式に変形す
ることを考える。式(
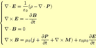
11)を変形すると
が得られる。ここで、新たに
を定義する。この

を電束密度[C/m

]、

を磁界の強さ[A/m]と言う。
これらを使うと、物質中のMaxwellの方程式は、
となる。このままでは、4つのベクトルが未知数であるため、通常は解けない。
物質中では、
という関係がある。この比例定数

を物質中の誘電率、

を物
質中の透磁率という。これは、

は

に比例する、

は

に比例することから、導くことができる。電場や磁場が弱いときには、
比例するが、大きくなると比例しなくなる。そのため、

や

を定数として扱うのは近似に過ぎない。
そこで、式(14)がいつでも成り立つためには、
や
を定数として取り扱わないようにすればよい。磁場や電
場の強さの関数であるし、もはや実数として取り扱わない、スカラーではなく
行列(テンソル)、あるいはヒステリシスも考慮に入れ、取り扱う範囲を広げる
ことができる。そのようにして、
や
は物質中の電磁気的な
作用を記述している。
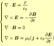
最後に、導体中の電磁場を計算する場合は、オームの法則を
 |
(16) |
を加えればよい。ここの

は、物質中の導電率である。
駆け足でしたが、物質中のMaxwellの方程式は終わり。
ホームページ:
Yamamoto's laboratory著者:
山本昌志
Yamamoto Masashi
平成16年12月28日