原子に電場を加えると、分極が発生し、図
1のように電気双極子

として取り扱うことができる。物質中では、これが密度

で存在するとして、
それを考慮して分極ベクトル
が定義できる。図からわかるように、ある表面積

を通り抜ける総電荷量

は、
である。ここで、

は表面の法線方向である。負号になる理由は、法線
方向と分極ベクトルの定義を考えれば分かるはずである。これから、単位表面あたり
通り抜ける電荷量は、
となる。この分極により、閉じた空間の電荷量は
となる。この積分は任意の領域で成り立つため、
 |
(5) |
を導くことができる。
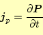
次に、この分極ベクトルが作る電流であるが、これは式(3)から、直ちに
導くことができる。
これを分極電流と言う。これで、分極ベクトルによる電荷と電流を導くことgあできたので、誘電体中のMaxwellの方程式を書き直す準備ができた。
図 2:
境界を越えての電荷の移動(境界と分極ベクトルが平行)
|
|
|
図 3:
境界を越えての電荷の移動(境界と分極ベクトルが角度を持つ)
|
|
|
ホームページ:
Yamamoto's laboratory著者:
山本昌志
Yamamoto Masashi
平成16年12月28日