先の練習問題、弦を三角形に張った後の様子は、定在波である。ここでは、進行波の記述
方法について、コメントしておく。進行波を数値計算すると面白いのでその方法を示す。
進行波を記述するためには、初期条件さえ記述すれば、後の差分方程式は同じである。そ
の初期条件の記述の仕方を示す。
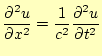
元の波動方程式
 |
(20) |
には、明らかに、ダランベールの解
 |
(21) |
というものがある。これは元の波動方程式に代入すれば、それを満足していることは直ち
に理解できる。ここで、

はx軸を正の方向に進む進行波(forward wave)で、

は負の方向に進む後進波(backward wave)である。
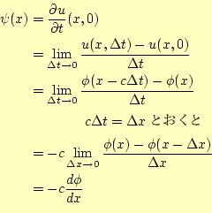
初期条件
の波がx軸を正の方向に進む進行波として取り扱うには、どうしたらよいだろうか?。のこ
る条件は、
 |
(23) |
である。進行波になるように、

を決めればよい。

を進行波と仮定する
と、式(
22)から
となる。この式を使って、

を求めることにする。

の定義より、
となる。進行波にするためには、

は

の導関数ににすればよいのである。
念のため言っておくが、後進波にするためには
 |
(26) |
とすればよい。
ホームページ:
Yamamoto's laboratory著者:
山本昌志
Yamamoto Masashi
平成17年2月18日