4 教科書5.17

NORオンリーに直す問題です。

(1)

\begin{equation*}\begin{aligned}X+Y+Z&=\overline{\overline{X+Y+Z}} \end{aligned}\end{equation*}

(2)

\begin{equation*}\begin{aligned}X\cdot Y\cdot Z &=\overline{\overline{X\cdot Y\cdot Z}}\\ &=\overline{\bar{X}+\bar{Y}+\bar{Z}} \end{aligned}\end{equation*}

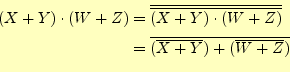
(3)

\begin{equation*}\begin{aligned}(X+Y)\cdot(W+Z) &=\overline{\overline{(X+Y)\cdot...
...}}\\ &=\overline{(\overline{X+Y})+(\overline{W+Z})} \end{aligned}\end{equation*}

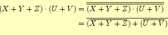
(4)

\begin{equation*}\begin{aligned}(X+Y+Z)\cdot(U+V) &=\overline{\overline{(X+Y+Z)\...
...\\ &=\overline{(\overline{X+Y+Z})+(\overline{U+V})} \end{aligned}\end{equation*}

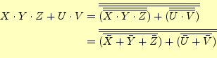
(5) 教科書の解答は間違っています。

\begin{equation*}\begin{aligned}X\cdot Y\cdot Z+U\cdot V &=\overline{\overline{ ...
...+\bar{Y}+\bar{Z}})+ (\overline{\bar{U}+\bar{V}}) }} \end{aligned}\end{equation*}

(6) 教科書の解答でも良いですが、これは一目見て簡単になります。簡単化し てNORオンリーに直しましょう。

\begin{equation*}\begin{aligned}X\cdot Y\cdot Z+X\cdot Y &=X\cdot Y\cdot (Z+1)\\...
...\overline{X\cdot Y}}\\ &=\overline{\bar{X}+\bar{Y}} \end{aligned}\end{equation*}




ホームページ: Yamamoto's laboratory
著者: 山本昌志
Yamamoto Masashi
平成19年8月20日


no counter