4 完全系

ANDとOR、NOTゲートがあればどんな真理値表でも表すことができることは、今 までの学習で経験済みであろう。このようにどんな真理値表でも表すことがで きるゲートの組み合わせを完全系と言う。面白いことに、これら3つのゲート ではなく、たった1つのゲートで完全系ができる。それをこれから示す。

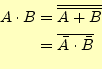
まず、NORゲートが完全系であることを示す。ANDとOR、NOTが完全系であるこ とは、これら3つをNORゲートのみで表せることができたら、NORゲート1つで完 全系をなしていると言える。図13を見れば、すぐ理解で きるように、NOTとORをNORゲートのみで表すことは簡単である。ANDは少し複 雑であるが、

\begin{equation*}\begin{aligned}A\cdot B &=\overline{\overline{A+B}}\\ &=\overline{\bar{A}\cdot\bar{B}} \end{aligned}\end{equation*}

を使えば、この図のように表すことが理解できる。これから、NORゲートのみ で完全系になることが分かる。

図 13: NORゲートのみで、NOTとOR、ANDを構成している。
\includegraphics[keepaspectratio, scale=1.0]{figure/complete_NOR.eps}

NORゲートと全く同じことが、NANDゲートにも言える。すなわち、図 14に示すように、NANDゲートのみで完全系である。

図 14: NANDゲートのみで、NOTとOR、ANDを構成している。
\includegraphics[keepaspectratio, scale=1.0]{figure/complete_NAND.eps}

これから、NANDやNORゲートは完全系であることが分かる。また、先の電気回 路から、ANDやORゲートに比べてもトランジスターの数が少ないことも分かる。 このような理由で、集積回路では、NANDやNORゲートが基本回路として使われ る。



ホームページ: Yamamoto's laboratory
著者: 山本昌志
Yamamoto Masashi
平成19年8月20日


no counter